Skip to content Skip to sidebar Skip to footer

How To Find Horizontal Tangent Line : This calculus video tutorial explains how to find the point where the graph has a horizontal tangent line using derivatives.

How To Find Horizontal Tangent Line : This calculus video tutorial explains how to find the point where the graph has a horizontal tangent line using derivatives.. Set the derivative equal to then solve the equation. By using this website, you agree to our cookie policy. The derivative of a function, y = f(x), is the measure of the rate of change of the function, y,. Dy dx = − f x f y = 2x + y 2y + x the horizontal tangent lines have f x = 0 → x = − y 2 and the vertical tangent lines have f y = 0 → x = −2y Here r = asinθcosθ, so y = rsinθ = asin2θcos2θ.

, which should be evident from the graph of this parametric curve from earlier. Then, dy dx = d dθrsinθ d dθrcosθ. The derivative of with respect to is. The formula now becomes which simplifies to. This calculus video tutorial explains how to find the point where the graph has a horizontal tangent line using derivatives.

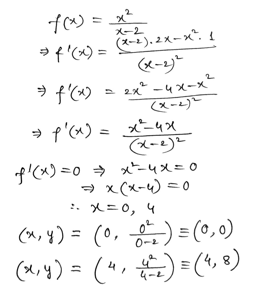
View Question Find The Points Where The Tangent Line To The Function Is Horizontal Y X 3 X 2 2
View Question Find The Points Where The Tangent Line To The Function Is Horizontal Y X 3 X 2 2 from web2.0calc.com
The derivative of with respect to is. In this section we will discuss how to find the derivatives dy/dx and d^2y/dx^2 for parametric curves. In this case we are going to assume that the equation is in the form r =f (θ) r = f ( θ). With the equation in this form we can actually use the equation for the. Lines that are parallel to the x axis have slope = 0. If you find all of the critical points of a differentiable function (i.e. By the sum rule, the derivative of with respect to is. To find the second solution, subtract the reference angle from to find the solution in the second quadrant.

In this section we will discuss how to find the derivatives dy/dx and d^2y/dx^2 for parametric curves.

With the equation in this form we can actually use the equation for the. Here's how to find them: Clearly, d y d x = 0 when y = 0. No horizontal tangent lines found Another way to think about it: In both cases, to find the point of tangency, plug in the x values you found back into the function f. Dy dx = − f x f y = 2x + y 2y + x the horizontal tangent lines have f x = 0 → x = − y 2 and the vertical tangent lines have f y = 0 → x = −2y If you find all of the critical points of a differentiable function (i.e. Having a graph is helpful when trying to visualize the tangent line. For polar equations, dy dx = dy/dθ dx/dθ where x = rcosθ and r = sinθ. How to find the vertical tangent. 👉 learn how to find the derivative of an implicit function. We will also discuss using these derivative formulas to find the tangent line for parametric curves as well as determining where a parametric curve in increasing/decreasing and concave up/concave down.

Find values of x where ! F (x) is undefined (the denominator of ! So, horizontal tangents occur when dy dx = 0, which is the same as when dy dθ = 0, or when d dθrsinθ = 0. This can be done using the slope formula: To find a horizontal tangent, you must find a point at which the slope of a curve is zero, which takes about 10 minutes when using a calculator.

Horizontal Tangent To Implicit Curve Video Khan Academy
Horizontal Tangent To Implicit Curve Video Khan Academy from i.ytimg.com
Horizontal tangents occur when dy dx = 0. One that has a derivative), a horizontal tangent line occurs wherever there is a relative maximum (a peak) or relative minimum (a low point). With these formulas and definitions in mind you can find the equation of a tangent line. By the sum rule, the derivative of with respect to is. Your first 5 questions are on us! So you need to set d y / d x = 0: A vertical tangent touches the curve at a point where the gradient (slope) of the curve is infinite and undefined. The tangent line always has a slope of 0 at these points (a horizontal line), but a zero slope alone does not guarantee an extreme point.

When is d y d x = y (2.5 − 1 x) = 0?

Then, dy dx = d dθrsinθ d dθrcosθ. Therefore, consider the following graph of the problem: By using this website, you agree to our cookie policy. Find the equation of the line tangent to f (x)=x2at x =2. This calculus video tutorial explains how to find the point where the graph has a horizontal tangent line using derivatives. How to find the vertical tangent. However, if both the numerator and denominator of ! By the sum rule, the derivative of with respect to is. In this section we will discuss how to find the derivatives dy/dx and d^2y/dx^2 for parametric curves. With these formulas and definitions in mind you can find the equation of a tangent line. Lines that are parallel to the x axis have slope = 0. , which should be evident from the graph of this parametric curve from earlier. In this case we are going to assume that the equation is in the form r =f (θ) r = f ( θ).

Lines that are parallel to the x axis have slope = 0. You need to know the slope of a. 5 x research source take the first derivative of the function to get f'(x), the equation for the tangent's slope. This calculus 2 video tutorial explains how to find the points of all horizontal tangent lines and vertical tangent lines of a parametric function. For polar equations, dy dx = dy/dθ dx/dθ where x = rcosθ and r = sinθ.

2 1 Tangent Lines And Their Slopes
2 1 Tangent Lines And Their Slopes from www.phengkimving.com
By using this website, you agree to our cookie policy. Dy dx = − f x f y = 2x + y 2y + x the horizontal tangent lines have f x = 0 → x = − y 2 and the vertical tangent lines have f y = 0 → x = −2y One that has a derivative), a horizontal tangent line occurs wherever there is a relative maximum (a peak) or relative minimum (a low point). In this case we are going to assume that the equation is in the form r =f (θ) r = f ( θ). So, horizontal tangents occur when dy dx = 0, which is the same as when dy dθ = 0, or when d dθrsinθ = 0. The derivative of a function, y = f(x), is the measure of the rate of change of the function, y,. However, if both the numerator and denominator of ! General steps to find the vertical tangent in calculus and the gradient of a curve:

Find all the values of x where the tangent line is horizontal.

To find the specific coordinates, we can plug back into our parametric equations like before. This can be done using the slope formula: Here r = asinθcosθ, so y = rsinθ = asin2θcos2θ. Find all the values of x where the tangent line is horizontal. You need to know the slope of a. The slope of the radius is. F (x) is undefined (the denominator of ! {eq}f(x) = 2x^3 + 39x^2 + 216x +7 {/eq} (simplify your answer. Dy dx = − f x f y = 2x + y 2y + x the horizontal tangent lines have f x = 0 → x = − y 2 and the vertical tangent lines have f y = 0 → x = −2y To find the slope of the tangent line, we first need to find the slope of the radius formed by connecting the center point to the point on the circumference. By using this website, you agree to our cookie policy. A vertical tangent touches the curve at a point where the gradient (slope) of the curve is infinite and undefined. Your first 5 questions are on us!